假期余额不足。
在返程的路上,用的最多的,必然是高德。

高德在这个假期搞了一个扫街的功能,全网都是跟着榜单去扫街,用真实数据对美团(大众点评)发起了挑战。
高德的背后是阿里,11年前,阿里斥资近15亿美元收购了高德,关键是收过来后并没有收取会员费来盈利,直接击垮了凯立德等业界同行。
因为工作的原因,星空君和阿里的多个团队打过交道,其中高德是最难打交道的,因为他们没有盈利压力,所以非常的“狂”(此处是褒义词)。
根据阿里今年年初发布的财报,高德地图首次实现盈利。
这是一件匪夷所思的事,企业的第一要务不是赚钱嘛?
阿里是如何允许高德11年不盈利的?

在9月份“扫街榜”的发布会上,高德首次披露,目前平台已覆盖全国超700万个餐厅点位,每天有1.2亿次生活服务相关搜索,导航前往1300万个生活服务目的地。
什么意思?
生态。
高德是阿里的一块“黏黏胶”,它的任务不是赚钱,而是粘住用户。
像星空君这种路痴,生活了几十年的城市,依然记不住路,只要开车只能同步打开高德。
当你打开高德的一瞬间,就进入了阿里大数据的池子,去自动匹配客户标签(注意这种自动化的客户分群是合法的,并不侵犯隐私)。
当我去淘宝天猫逛的时候,它会根据客户标签推荐汽车相关的产品。
闭环了。
高德地图于2025年8月推出全球首个AI原生地图应用——高德地图2025版本,标志着其从传统导航工具向AI驱动的出行智能体转型。该应用日调用量超12亿次,月活跃用户规模达4亿,成为AI技术落地的典型场景。
阿里正在用AI重塑所有业务。注意这一点,未来几年,所有大中型企业,都必然会用AI重塑全部业务。
这是AI创业者的机遇。
除了高德,阿里还有一个常年不赚钱的业务,阿里云(当然这几年终于盈利了,只是刚够盈亏平衡点)。
阿里云之父是中国工程院院士王坚,把阿里云带大后,王坚离开了阿里,现在正在搞AI上卫星。
他要在卫星上跑AI大模型。他的“三体计算星座”已经发射升空12颗卫星,正在组网阶段。

大家可以持续关注王坚院士的赛道,他真的是在开创未来。他所在的之江实验室,背后是杭州市在支持。杭州城投花了10个亿把智谱请到杭州后,现在国内最强的大模型都在杭州。
回到阿里云。
阿里云作为阿里巴巴集团AI战略的核心载体,在2025财年第三季度表现亮眼,收入达317.42亿元,同比增长13%,增速较上一季度有所放缓,但仍处于行业领先水平。值得注意的是,AI相关产品收入连续六个季度实现三位数同比增长。

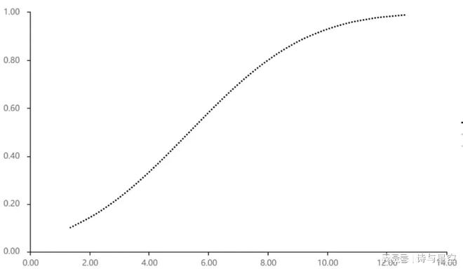
星空君一直认为,AI大模型的竞争,最终会达到一个成本和能力的边际效应,从而偃旗息鼓。
就像这个曲线,在经济学、数学、物理、化学等领域非常常见,最终投入是无限的,获取的能力提升却逼近极限。
现在ChatGPT的版本号越来越高,但能力提升越来越有限。
以至于现在DeepSeek、Qwen、Kimi、GLM等国产AI追的并不太吃力,
像DeepSeek正在搞邪修,支持国产算力,绕开CUDA... ...
这都是很要命的杀招。最终大家都会堆积在那个接近无限大的位置,各有特色,但也差距不算太大。
这个时候谁受益?
云计算厂商。
因为云计算厂商可以把AI服务打包到云计算服务里提供给用户,
作为云计算基建的一部分,甚至不需要额外收费。
OpenAI的位置在哪里?要么被云计算巨头并购,要么倒闭。
国际看谷歌微软亚马逊和Meta,
国内看阿里腾讯和字节。
DeepSeek呢?它是类似令狐冲的那种奇行种,大概率还在,但是非主流。
在世界最大的开源大模型平台huggingface上,阿里的开源大模型深受全球AI开发者的喜爱。

最近在开源社区最热的一篇帖子,是开发者们对中国开源大模型对世界大模型的贡献的赞美。
可以说,没有中国的开发者,就没有世界开源大模型的现在。
为了更好的训练大模型,阿里甚至搞出了自己的AI芯片,含光800,已经上线应用10万片。

含光800用12nm的制程就实现了全球最强的AI推理性能,大家应该明白12nm意味着什么。
是的,不被卡脖子。
事实上,中国第一个开始搞不被卡脖子运动的,不是华为,而是阿里。正是阿里最先开启了去IOE的进程,最终大获成功。
星空君叨叨这么多是什么意思呢?
阿里巴巴不再是一家电商企业,而是一家AI大模型企业,它的估值逻辑发生了变化。
在创始人陈航(花名“无招”)回归钉钉核心管理层后,钉钉原总裁叶军的去向引发关注。7月14日下午,《国际金融报》记者从知情人士处获悉,阿里巴巴集团副总裁、钉钉前总裁叶军已正式离职。据悉,目前阿里集团内部...
昨晚,马云突然现身位于杭州的阿里巴巴全球总部“湖畔小屋”,这一消息迅速点燃社交媒体,相关照片、视频在社群里疯传。 话题词“马云现身鼓励员工坚持创业精神”登上微博热搜。 马云去的“湖畔小屋”是刚刚亮相阿...
今年以来,港股回购持续升温。 券商中国记者根据数据统计,今年1月1日至7月11日,合计有238家港股上市公司累计回购了69.88亿股,回购金额达到近1800亿港元,参与回购的上市公司家数和回购股票数...
红星资本局11月26日消息 昨日,阿里巴巴(09988.HK;BABA.US)发布2026财年第二财季(7—9月)业绩,净利润同比下滑53%。 管理层在财报电话会上透露,预计下个季度闪购业务的投入将显...
作 者:微澜 来 源:正和岛(ID:zhenghedao) 再一次,美国对中国科技公司下手了! 就在11月14日,阿里的千问APP上线当天,据英国《金融时报》报道称,白宫连夜紧急抛出“国家安全”备忘...
内网全面互通,被市场视为阿里强化业务协同的信号。 5月9日,《国际金融报》记者留意到,阿里巴巴多名内部员工在社交平台上爆料,前一日晚间,阿里集团全面打通各业务单元内部论坛权限,淘天、阿里云、大文娱、菜...